A scientific article by Lecturer M. M. Ali Hussein Al-Nasrawi entitled (Vitamin B12)

16/08/2023   Share :        
414  

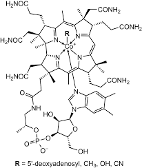
Vitamin B12 is found naturally only in animal foods. Some of the best sources of Vitamin B12 include clams, liver, fortified cereal, trout, salmon, canned tuna fish, beef, nonfat plain Greek yogurt, low-fat milk, ham and eggs. Cheese is also a rich source of vitamin B12.<br />Vitamin B12 deficiency occurs due to decreased intake of the vitamin, increased requirements or poor absorption. Some common causes of Vitamin B12 deficiency include pernicious anemia, which is an autoimmune condition that affects your stomach, a strict vegan diet, certain medi-cations which block absorption of vitamins, and certain stomach or intestinal conditions or surgeries that prevent absorption of enough vitamin B12.<br />Some common symptoms of Vitamin B12 deficiency include fatigue, shortness of breath, dizziness, pale or yellowish skin, irregular heartbeats, weight loss, numbness or tingling in the hands and feet, muscle weakness, personality changes, unsteady movements, mental confusion or forgetfulness. Severe, long-term deficiency may lead to loss of mobility, problems walking or memory loss.<br />Symptom Description<br />Fatigue Feeling tired or weak<br />Shortness of breath Difficulty breathing or catching your breath<br />Dizziness Feeling lightheaded or faint<br />Pale or yellowish skin Change in skin color<br />Irregular heartbeats Heart palpitations or changes in heart rhythm<br />Weight loss Losing weight without trying<br />Numbness or tingling Sensations in the hands and feet<br />Muscle weakness Difficulty with physical tasks<br />Personality changes Changes in mood or behavior<br />Unsteady movements Difficulty with coordination or balance<br />Mental confusion or forgetfulness Difficulty thinking clearly or remembering things<br />Vitamin B12 deficiency is usually treated with Vitamin B12 supplements, taken either by pill or injection. The treatment depends on the cause and severity of the deficiency. For example, if the deficiency is due to a lack of Vitamin B12 in the diet, then increasing the intake of Vitamin B12-rich foods or taking oral supplements may be sufficient. However, if the deficiency is due to an absorption problem, then Vitamin B12 injections may be necessary.<br />It’s important to consult with a healthcare provider to determine the best course of treatment for Vitamin B12 deficiency.<br />Recovery from Vitamin B12 deficiency takes time. Once you begin treating your Vitamin B12 deficiency, it can take up to six to 12 months to fully recover. It is also common to not experience any improvement during the first few months of treatment 12.<br />